|
中文名称 |
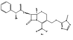
头孢孟多酯钠 |
|
|
英文名称 |
Cefamandole Nafate |
|
|
CAS号 |
42540-40-9 |
|
|
分子式 |
C19H18N6O6S2.Na |
|
|
分子量 |
512.50 |
|
|
物化性质 |
为白色或浅黄色结晶性粉末,无臭,微苦,有引湿性。易溶于水,略溶于乙醇,难溶于乙醚。 |
|
|
用途 |
为第二代头孢菌素 | |
|
结构式
|
![]() |
|
|
标准 |
含量 |
≥99% |
|
水分 |
≤1.50% |
|